情報の整理 → 正しい解析・新しい発見・仮説生成
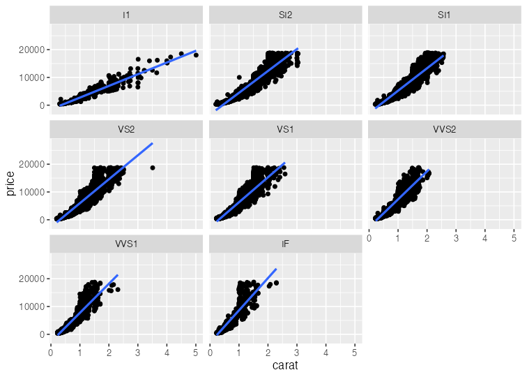
carat が大きいほど price も高いらしい。
その度合いは clarity によって異なるらしい。
iris: アヤメ属3種150個体の測定データRに最初から入ってて、例としてよく使われる。
print(iris)
Sepal.Length Sepal.Width Petal.Length Petal.Width Species
1 5.1 3.5 1.4 0.2 setosa
2 4.9 3.0 1.4 0.2 setosa
3 4.7 3.2 1.3 0.2 setosa
4 4.6 3.1 1.5 0.2 setosa
--
147 6.3 2.5 5.0 1.9 virginica
148 6.5 3.0 5.2 2.0 virginica
149 6.2 3.4 5.4 2.3 virginica
150 5.9 3.0 5.1 1.8 virginica
長さ150の数値ベクトル4本と因子ベクトル1本。
描けるっちゃ描けるけど。カスタマイズしていくのは難しい。
boxplot(Petal.Width ~ Species, data = iris)
plot(iris$Sepal.Length, iris$Sepal.Width)
hist(iris$Petal.Length)



きれいなグラフを簡単に描けるパッケージを使いたい。




R標準のやつとは根本的に違うシステムで作図する。
+ で重ねていく
+ で重ねていくggplot(data = diamonds) # diamondsデータでキャンバス準備
# aes(x = carat, y = price) + # carat,price列をx,y軸にmapping
# geom_point() + # 散布図を描く
# stat_smooth(method = lm) + # 直線回帰を追加
# facet_wrap(vars(clarity)) + # clarity列に応じてパネル分割
# coord_cartesian(ylim = c(0, 2e4)) + # y軸の表示範囲を狭く
# theme_classic(base_size = 20) # クラシックなテーマで

+ で重ねていくggplot(data = diamonds) + # diamondsデータでキャンバス準備
aes(x = carat, y = price) # carat,price列をx,y軸にmapping
# geom_point() + # 散布図を描く
# stat_smooth(method = lm) + # 直線回帰を追加
# facet_wrap(vars(clarity)) + # clarity列に応じてパネル分割
# coord_cartesian(ylim = c(0, 2e4)) + # y軸の表示範囲を狭く
# theme_classic(base_size = 20) # クラシックなテーマで

+ で重ねていくggplot(data = diamonds) + # diamondsデータでキャンバス準備
aes(x = carat, y = price) + # carat,price列をx,y軸にmapping
geom_point() # 散布図を描く
# stat_smooth(method = lm) + # 直線回帰を追加
# facet_wrap(vars(clarity)) + # clarity列に応じてパネル分割
# coord_cartesian(ylim = c(0, 2e4)) + # y軸の表示範囲を狭く
# theme_classic(base_size = 20) # クラシックなテーマで

+ で重ねていくggplot(data = diamonds) + # diamondsデータでキャンバス準備
aes(x = carat, y = price) + # carat,price列をx,y軸にmapping
geom_point() + # 散布図を描く
stat_smooth(method = lm) # 直線回帰を追加
# facet_wrap(vars(clarity)) + # clarity列に応じてパネル分割
# coord_cartesian(ylim = c(0, 2e4)) + # y軸の表示範囲を狭く
# theme_classic(base_size = 20) # クラシックなテーマで

+ で重ねていくggplot(data = diamonds) + # diamondsデータでキャンバス準備
aes(x = carat, y = price) + # carat,price列をx,y軸にmapping
geom_point() + # 散布図を描く
stat_smooth(method = lm) + # 直線回帰を追加
facet_wrap(vars(clarity)) # clarity列に応じてパネル分割
# coord_cartesian(ylim = c(0, 2e4)) + # y軸の表示範囲を狭く
# theme_classic(base_size = 20) # クラシックなテーマで

+ で重ねていくggplot(data = diamonds) + # diamondsデータでキャンバス準備
aes(x = carat, y = price) + # carat,price列をx,y軸にmapping
geom_point() + # 散布図を描く
stat_smooth(method = lm) + # 直線回帰を追加
facet_wrap(vars(clarity)) + # clarity列に応じてパネル分割
coord_cartesian(ylim = c(0, 2e4)) # y軸の表示範囲を狭く
# theme_classic(base_size = 20) # クラシックなテーマで

+ で重ねていくggplot(data = diamonds) + # diamondsデータでキャンバス準備
aes(x = carat, y = price) + # carat,price列をx,y軸にmapping
geom_point() + # 散布図を描く
stat_smooth(method = lm) + # 直線回帰を追加
facet_wrap(vars(clarity)) + # clarity列に応じてパネル分割
coord_cartesian(ylim = c(0, 2e4)) + # y軸の表示範囲を狭く
theme_classic(base_size = 20) # クラシックなテーマで

+ で重ねていくggplot(data = diamonds) + # diamondsデータでキャンバス準備
aes(x = carat, y = price) + # carat,price列をx,y軸にmapping
geom_point() + # 散布図を描く
# stat_smooth(method = lm) + # 直線回帰を追加
# facet_wrap(vars(clarity)) + # clarity列に応じてパネル分割
# coord_cartesian(ylim = c(0, 2e4)) + # y軸の表示範囲を狭く
theme_classic(base_size = 20) # クラシックなテーマで

p1 = ggplot(data = diamonds)
p2 = p1 + aes(x = carat, y = price)
p3 = p2 + geom_point()
p4 = p3 + facet_wrap(vars(clarity))
print(p3)

この p3 は後で使います。
自動車のスペックに関するデータ mpg を使って。
manufacturer model displ year cyl trans drv cty hwy fl class
1 audi a4 1.8 1999 4 auto(l5) f 18 29 p compact
2 audi a4 1.8 1999 4 manual(m5) f 21 29 p compact
--
233 volkswagen passat 2.8 1999 6 manual(m5) f 18 26 p midsize
234 volkswagen passat 3.6 2008 6 auto(s6) f 17 26 p midsize
🔰 排気量 displ と市街地燃費 cty の関係を散布図で。

関数名を ggplot2 と書いちゃうと勘違い:
> ggplot2(diamonds)
Error in ggplot2(diamonds) : could not find function "ggplot2"
ggplot2 はパッケージ名。
今度こそ関数名は合ってるはずなのに…
> ggplot(diamonds)
Error in ggplot(diamonds) : could not find function "ggplot"
パッケージ読み込みを忘れてた。新しくRを起動するたびに必要:
library(conflicted) # 安全のおまじない
library(tidyverse) # including ggplot2
ggplot(diamonds) # OK!
そのほか よくあるエラー集 (石川由希さん@名古屋大) を参照。
ggplot() に渡すのは整然データ tidy dataprint(diamonds)
carat cut color clarity depth table price x y z
1 0.23 Ideal E SI2 61.5 55 326 3.95 3.98 2.43
2 0.21 Premium E SI1 59.8 61 326 3.89 3.84 2.31
3 0.23 Good E VS1 56.9 65 327 4.05 4.07 2.31
4 0.29 Premium I VS2 62.4 58 334 4.20 4.23 2.63
--
53937 0.72 Good D SI1 63.1 55 2757 5.69 5.75 3.61
53938 0.70 Very Good D SI1 62.8 60 2757 5.66 5.68 3.56
53939 0.86 Premium H SI2 61.0 58 2757 6.15 6.12 3.74
53940 0.75 Ideal D SI2 62.2 55 2757 5.83 5.87 3.64
https://r4ds.hadley.nz/data-tidy.html; https://speakerdeck.com/fnshr/zheng-ran-detatutenani
aes() の中で列名を指定する。
ggplot(diamonds) +
aes(x = carat, y = price) +
geom_point(mapping = aes(color = clarity, size = cut))

aes() の外で値を指定する。
ggplot(diamonds) +
aes(x = carat, y = price) +
geom_point(color = "darkorange", size = 6, alpha = 0.4)

aes() は全ての geom_*() に波及するggplot(diamonds) +
aes(x = carat, y = price) +
geom_point(aes(color = clarity)) +
geom_line() # NO color
ggplot(diamonds) +
aes(x = carat, y = price, color = clarity) +
geom_point() + # color
geom_line() # color


color, 面は fill不透明度は alpha
ggplot(diamonds) +
aes(cut, carat) +
geom_boxplot(color = "royalblue", fill = "gold", alpha = 0.5, linewidth = 2)

自動車のスペックに関するデータ mpg を使って。
manufacturer model displ year cyl trans drv cty hwy fl class
1 audi a4 1.8 1999 4 auto(l5) f 18 29 p compact
2 audi a4 1.8 1999 4 manual(m5) f 21 29 p compact
--
233 volkswagen passat 2.8 1999 6 manual(m5) f 18 26 p midsize
234 volkswagen passat 3.6 2008 6 auto(s6) f 17 26 p midsize
🔰 排気量 displ と市街地燃費 cty の関係を青い散布図で描こう
🔰 駆動方式 drv やシリンダー数 cyl によって色を塗り分けしてみよう

赤
緑
青の3色を使った先ほどの図は多くの人には問題なさそう。
しかし5%くらいの人には右のように
赤
緑
青 や
赤
緑
青の2色に見えている。



MacやiOSならSim Daltonismというアプリでシミュレーションできる。
WindowsならColor Oracleが使えそう。
Sequential palette:



Diverging palette:



Qualitative (categorical, discrete) palette:



scale_color_*()viridis
と
ColorBrewer
のパレットはggplot2に組み込まれているので簡単。
上記リンクから名前を探して、option = か palette = で指定。
p = ggplot(diamonds) + aes(carat, price) +
geom_point(mapping = aes(color = clarity))
p + scale_color_viridis_d(option = "inferno") + labs(title = "inferno")
p + scale_color_brewer(palette = "YlGnBu") + labs(title = "YlGnBu")


渡す値とscale関数が合ってないと怒られる:
Error: Continuous value supplied to discrete scale
p = ggplot(diamonds) + aes(carat, price) +
geom_point(mapping = aes(color = price))
p + scale_color_viridis_c(option = "inferno") + labs(title = "inferno")
p + scale_color_distiller(palette = "YlGnBu") + labs(title = "YlGnBu")


scale_color_viridis_d(), scale_color_brewer()scale_color_viridis_c(), scale_color_distiller()scale_color_viridis_b(), scale_color_fermenter()R標準の palette.colors() や
colorspaceパッケージ
を使う。
p = ggplot(mpg) +
aes(x = displ, y = cty) +
geom_point(aes(color = drv), size = 4, alpha = 0.66)
p + scale_color_discrete(type = palette.colors(9L, "Okabe-Ito")[-1]) + labs(title = "Okabe-Ito")
p + scale_color_discrete(type = palette.colors(8L, "R4")[-1]) + labs(title = "R4")
p + colorspace::scale_colour_discrete_divergingx("Zissou 1") + labs(title = "Zissou 1")



自分で全色個別指定もできるが、専門家の考えたセットを使うのが無難。
scale_color_* を省略できるように設定可能連続値viridis, 離散値Okabe-Itoをデフォルトにする例:
grDevices::palette("Okabe-Ito")
theme_palette = ggplot2::theme(
palette.colour.continuous = "viridis",
palette.fill.continuous = "viridis",
palette.colour.discrete = grDevices::palette()[-1],
palette.fill.discrete = grDevices::palette()[-1]
)
ggplot2::theme_set(ggplot2::theme_get() + theme_palette)
theme_set() による設定はRを終了するまで有効。
スクリプトの先頭に書いておいて毎回設定することを推奨。
options(ggplot2.continuous.colour = "viridis")
は古い(<4.0.0)。
ggplotの真骨頂! これをR標準機能でやるのは結構たいへん。
p3 + facet_wrap(vars(clarity), ncol = 4L)

ggplotの真骨頂! これをR標準機能でやるのは結構たいへん。
p3 + facet_grid(vars(clarity), vars(cut))


自動車のスペックに関するデータ mpg を使って。
manufacturer model displ year cyl trans drv cty hwy fl class
1 audi a4 1.8 1999 4 auto(l5) f 18 29 p compact
2 audi a4 1.8 1999 4 manual(m5) f 21 29 p compact
--
233 volkswagen passat 2.8 1999 6 manual(m5) f 18 26 p midsize
234 volkswagen passat 3.6 2008 6 auto(s6) f 17 26 p midsize
🔰 駆動方式 drv やシリンダー数 cyl によってfacetしてみよう

scale_*, coord_*ggplot(diamonds) + aes(carat, price) + geom_point(alpha = 0.25) +
scale_x_log10() +
scale_y_log10(breaks = c(1, 2, 5, 10) * 1000) +
coord_cartesian(xlim = c(0.1, 10), ylim = c(800, 12000)) +
labs(title = "Diamonds", x = "Size (carat)", y = "Price (USD)")

theme既存の theme_*()
をベースに、theme()関数で微調整。
p3 + theme_bw(base_size = 20) + theme(
panel.background = element_rect(fill = "khaki"), # 箱
panel.grid = element_line(color = "royalblue"), # 線
axis.title.x = element_text(size = 32), # 文字
axis.text.y = element_blank() # 消す
)

+ で重ねていく
別のパッケージ (cowplot や patchwork) の助けを借りて
pAB = cowplot::plot_grid(p3, p3, labels = c("A", "B"), nrow = 1L)
cowplot::plot_grid(pAB, p3, labels = c("", "C"), ncol = 1L)

widthやheightが小さいほど、文字・点・線が相対的に大きく
# 7inch x 300dpi = 2100px四方 (デフォルト)
ggsave("dia1.png", p3) # width = 7, height = 7, dpi = 300
# 4 x 300 = 1200 全体7/4倍ズーム
ggsave("dia2.png", p3, width = 4, height = 4) # dpi = 300
# 2 x 600 = 1200 全体をさらに2倍ズーム
ggsave("dia3.png", p3, width = 2, height = 2, dpi = 600)
# 4 x 300 = 1200 テーマを使って文字だけ拡大
ggsave("dia4.png", p3 + theme_bw(base_size = 22), width = 4, height = 4)
環境設定 → General → Graphics → Backend: AGG
英数字以外を使わずに済ませられればそれに越したことはないけど…
geom_*() が使える?なんでもある。 公式サイトを見に行こう。
うん。でもすべての点について後から確認できるし、使い回せる!
p = ggplot(diamonds) +
aes(price, cut) +
geom_jitter(aes(color = cut), height = 0.2, width = 0, alpha = 0.1, stroke = 0) +
geom_boxplot(fill = NA, outlier.shape = NA) +
scale_color_viridis_d(option = "plasma") +
facet_wrap(vars(clarity)) +
coord_cartesian(xlim = c(0, 20000), ylim = c(0.5, 5.5), expand = FALSE) +
labs(title = "Diamonds", x = "Cut", y = "Price (USD)") +
theme_bw(base_size = 16) +
theme(legend.position = "none",
axis.ticks = element_blank(),
panel.grid.major.y = element_blank(),
panel.spacing.x = grid::unit(3, "lines"),
plot.margin = grid::unit(c(1, 2, 0.5, 0.5), "lines"))
print(p)
ggsave("diamonds-cut-price.png", p, width = 12, height = 9)
geom_sf